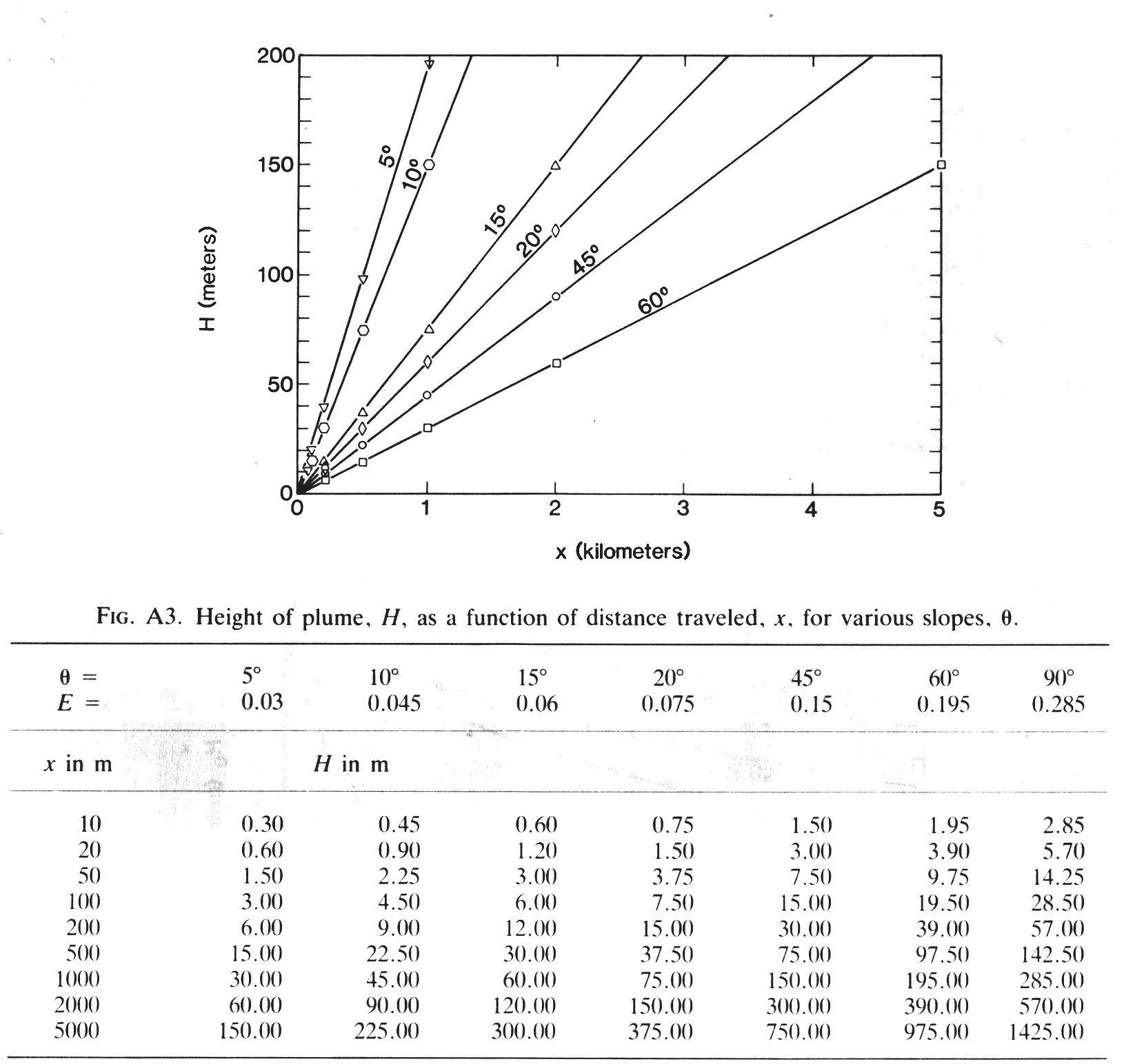
OE87 A1